fx-570ES PLUS
fx-991ES PLUS
(2nd edition / NATURAL-V.P.A.M.)
Trước khi sử dụng máy tính
Các chế độ tính toán và thiết lập máy tính
Đưa vào biểu thức và giá trị
- ▶Qui tắc đưa vào cơ bản
- ▶Đưa vào bằng Hiển thị tự nhiên
- ▶Phạm vi tính toán dạng √
- ▶Dùng giá trị và biểu thức làm đối (chỉ Hiển thị tự nhiên)
- ▶Chế độ đưa vào ghi đè (chỉ Hiển thị tuyến tính)
- ▶Sửa chữa và xoá biểu thức
Các phép tính cơ bản
- ▶Đảo các kết quả tính toán
- ▶Các phép tính phân số
- ▶Các phép tính phần trăm
- ▶Các phép tính độ, phút, giây (hệ sáu mươi)
- ▶Đa câu lệnh
- ▶Sử dụng ký pháp kỹ thuật
- ▶Lịch sử tính toán và chạy lại
- ▶Sử dụng các chức năng bộ nhớ
Các phép tính hàm số
- ▶Pi (π), Cơ số lôgarit tự nhiên e
- ▶Các hàm lượng giác
- ▶Các hàm hyperbolic
- ▶Chuyển đổi đơn vị góc
- ▶Các hàm mũ
- ▶Các hàm lôgarit
- ▶Các hàm lũy thừa và các hàm khai căn
- ▶Các phép tính tích phân
- ▶Các phép tính vi phân
- ▶Các phép tính Σ
- ▶Chuyển đổi tọa độ Descartes-Cực
- ▶Hàm giai thừa (!)
- ▶Hàm giá trị tuyệt đối (Abs)
- ▶Số ngẫu nhiên (Ran#)
- ▶Số nguyên ngẫu nhiên (RanInt#)
- ▶Chỉnh hợp (nPr) và tổ hợp (nCr)
- ▶Hàm làm tròn (Rnd)
- ▶Sử dụng CALC
- ▶Sử dụng SOLVE
- ▶Các hằng số khoa học
- ▶Chuyển đổi số đo
Sử dụng các chế độ tính toán
- ▶Các phép tính số phức (CMPLX)
- ▶Các phép tính thống kê (STAT)
- ▶Tính toán cơ số n (BASE-N)
- ▶Các phép tính phương trình (EQN)
- ▶Các phép tính ma trận (MATRIX)
- ▶Tạo một bảng số từ một hàm (TABLE)
- ▶Các phép tính vectơ (VECTOR)
Thông tin kỹ thuật
- ▶Lỗi
- ▶Trước khi nghĩ rằng máy tính vận hành trục trặc...
- ▶Thay thế pin
- ▶Trình tự ưu tiên tính toán
- ▶Phạm vi tính toán, số chữ số và độ chính xác
- ▶Thông số kỹ thuật
- ▶Xác thực máy tính của bạn là hàng thật
Câu hỏi thường gặp
Các phép tính tích phân
Hàm để thực hiện tích phân số sử dụng phương pháp Gauss-Kronrod.
Cú pháp đầu vào Hiển thị tự nhiên là ∫ba f (x)dx, trong khi cú pháp Hiển thị tuyến tính là ∫ (f (x), a, b, tol).
tol chỉ định sai số cho phép, sẽ là 1 × 10-5 khi không có gì được nhập vào cho tol.
Ví dụ 1: ∫e1 ln(x) = 1
(MthIO-MathO)



(X)
1

(e)
- 1
(LineIO)



(X)

(,) 1
(,)
(e)

- 1
Ví dụ 2: ∫(1x2 , 1, 5, 1 × 10-7) = 0,8 (LineIO)
1

(X)

(,) 1
(,) 5
(,)
1
7

- 0,8
Ví dụ 3: ∫π0 (sin x + cos x)2 dx = π (tol: Không được chỉ định) (MthIO-MathO) (Đơn vị góc: Rad)




(X)



(X)


0

(π)
- π
Các chú ý phép tính tích phân
Phép tính tích phân chỉ có thể được thực hiện trong Chế độ COMP.
Các thứ sau đây không thể được sử dụng trong f(x), a, b, hay tol: Pol, Rec, ∫, d/dx, Σ.
Khi dùng một hàm lượng giác trong f(x), hãy chỉ định Rad làm đơn vị góc.
Giá trị tol nhỏ hơn làm tăng độ chính xác, nhưng nó cũng làm tăng thời gian tính toán. Khi chỉ định tol, hãy sử dụng giá trị là 1 × 10-14 hay lớn hơn.
Tích phân thông thường đòi hỏi thời gian đáng kể để thực hiện.
Tuỳ theo nội dung của f(x) và miền lấy tích phân, sai số tính toán vượt quá sai số cho phép có thể được tạo ra, làm cho máy tính hiển thị thông báo lỗi.
Nội dung của f(x), các giá trị dương/âm trong khoảng lấy tích phân, và khoảng để lấy tích phân có thể gây ra sai số lớn trong các giá trị tích phân mang lại. (Các ví dụ: Khi có những phần với điểm gián đoạn hay thay đổi đột ngột. Khi khoảng lấy tích phân quá rộng.) Trong những trường hợp như thế, chia khoảng lấy tích phân thành các phần và thực hiện việc tính toán có thể cải thiện độ chính xác tính toán.
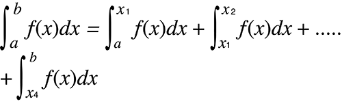
Lời khuyên về tính tích phân thành công
Khi một hàm tuần hoàn hay khoảng lấy tích phân gây ra giá trị hàm f(x) dương và âm
Thực hiện lấy các tích phân tách biệt cho từng chu kì, hay cho phần dương và phần âm riêng, rồi kết hợp các kết quả.
(1) Phần dương
(2) Phần âm
Khi các giá trị tích phân thăng giáng rộng do dịch chuyển nhỏ trong khoảng lấy tích phân
Chia khoảng lấy tích phân thành nhiều phần (theo cách chia các khu vực thăng giáng rộng thành các phần nhỏ), thực hiện lấy tích phân trên từng phần, rồi kết hợp các kết quả.






