Yükseklik Kayıtlarını Görüntüleme
Manuel olarak ve otomatik olarak kaydedilen verileri görüntülemek için Yükseklik Kaydı Hatırlatma Modu’nu kullanabilirsiniz.
Kayıtlı Verileri Görüntüleme
-
Yükseklik Kaydı Hatırlatma Modu’na girin.
-
İstediğiniz verileri görüntülemek için (A) ve (C) düğmesini kullanın.
Burada Yükseklikölçer Modu’nda kayıtlı olan veriler gösterilir.
(A) veya (C) düğmelerine basılı tutulduğunda yüksek hızda kaydırma yapılır.

Bir düğmeye her basıldığında manuel olarak kaydedilen bir sonraki veri kaydının üst ekranına kaydırılır. Hafızada 1 ([-01-]) ile 14 ([-14-]) arasında numaralandırılmış en fazla 14 kayıt olabilir.
Not
Veri silme işlemi, hata veya başka bir nedenden dolayı hafızada veri kalmamışsa ekranda [- - - -] veya [0] görünür.
Kümülatif yükselme (ASC) veya kümülatif alçalma (DSC) değeri 99.999 m’yi (327.995 ft) aşarsa bu değer 0’a döner ve oradan devam eder.
(D) düğmesine basıldığında görüntülediğiniz verilerin üst ekranına (kayıt numarası, DSC, ASC, MAX veya MIN) dönülür.
Manuel Olarak Kaydedilen Veriler
Manuel olarak kaydedilen bir verinin (01 - 14) üst ekranını görüntüledikten sonra aşağıda gösterildiği gibi kaydın verileri arasında gezinebilirsiniz.
Örnek: Manuel olarak kaydedilen Kayıt 01

Otomatik Olarak Kayıtlı Veriler
Otomatik olarak kaydedilmiş bir veriyi görüntüledikten sonra aşağıda gösterildiği gibi kaydın veri ekranları arasında gezinebilirsiniz.
Yüksek ve düşük yükseklik
Örnek: Yüksek yükseklik

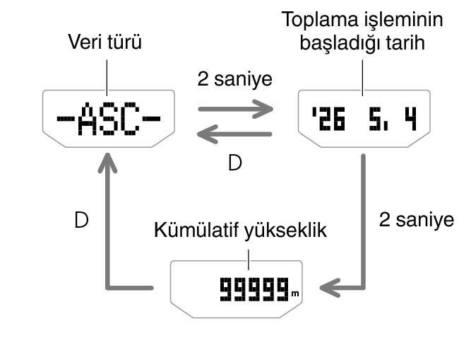
Kümülatif yükselme ve kümülatif alçalma
Örnek: Kümülatif yükselme

Verileri Silme
Belirli Bir Kaydı Silme
-
Yükseklik Kaydı Hatırlatma Modu’na girin.
-
Kayıtların üst ekranlarında gezinmek ve silmek istediğiniz ekranı görüntülemek için (A) ve (C) düğmelerini kullanın.
-
(D) düğmesini yaklaşık iki saniye basılı tutun. [CLEAR] öğesinin yanıp sönmesi durduğunda düğmeye basmayı bırakın.
Bu işlem, seçtiğiniz kaydı siler.

(D) düğmesine beş saniyeden uzun süre basıldığında tüm verilerin silineceğini unutmayın.
Tüm Kayıtları Silme
[ALL CLR] simgesinin yanıp sönmesi durana kadar (D) düğmesine en az beş saniye boyunca basılı tutun. Bu, tüm verilerin silindiğini gösterir.
