Visualizzazione dei dati registrati
Quando si accede alla modalità di richiamo delle registrazioni di altitudine, viene visualizzata la schermata del tipo di dati di una registrazione di dati di altitudine. Utilizzare i pulsanti (A) e (C) per scorrere le schermate superiori dei dati come illustrato di seguito.
- Per scorrere velocemente, tenere premuto (A) o (C).

* Ogni volta che si preme un pulsante, la schermata superiore scorre alla successiva registrazione di dati effettuata manualmente. Possono essere conservate nella memoria fino a massimo 30 registrazioni, numerate da 1 ([-01-]) a 30 ([-30-]).
Dati registrati manualmente
Una volta visualizzata la schermata superiore di una registrazione di dati effettuata manualmente (da 01 a 30), è possibile passare da una schermata di dati della registrazione all’altra come illustrato di seguito.
Esempio: registrazione effettuata manualmente 01

Dati registrati automaticamente
Alta altitudine e bassa altitudine
Esempio: alta altitudine

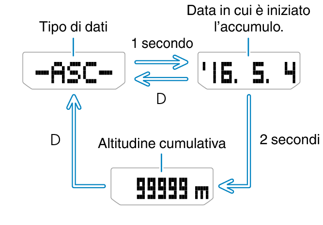
Ascesa cumulativa e discesa cumulativa
Esempio: ascesa cumulativa


