Anzeigen gespeicherter Daten
Durch den Wechsel in den Abrufmodus für Höhendaten wird der Datentyp-Bildschirm eines Datensatzes mit Höhendaten angezeigt. Mit den Knöpfen (A) und (C) können Sie zwischen den wichtigsten Datenbildschirmen wechseln, wie unten angezeigt.
- Wenn Sie (A) oder (C) gedrückt halten, blättern Sie mit hoher Geschwindigkeit.

* Mit jedem Druck auf einen Knopf gehen Sie zum obersten Bildschirm des nächsten manuell aufgezeichneten Datensatzes. Es können sich bis zu 30 Datensätze im Speicher befinden, die von 1 ([-01-]) bis 30 ([-30-]) nummeriert sind.
Manuell aufgezeichnete Daten
Nach der Anzeige des obersten Bildschirms eines Satzes mit manuell aufgezeichneten Daten (01 bis 30), können Sie zwischen den Datenbildschirmen für den Datensatz wie unten angezeigt navigieren.
Beispiel: Manuell aufgezeichneter Datensatz 01

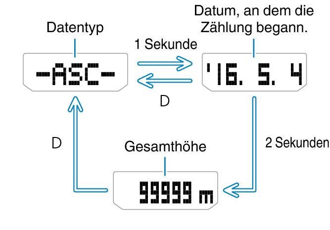
Automatisch aufgezeichnete Daten
Große Höhe oder geringe Höhe
Beispiel: Große Höhe

Gesamtanstieg und Gesamtabstieg
Beispiel: Gesamtanstieg


