عرض سجلات الارتفاع
يمكنك استخدام وضع استرداد سجل الارتفاع لعرض البيانات المسجلة يدويًا وتلقائيًا.
عرض البيانات المحفوظة
-
أدخل في وضع استرداد سجل الارتفاع.
-
استخدم (A) و (C) لعرض البيانات التي تريد رؤيتها.
يؤدي ذلك إلى عرض سجل بيانات مسجّل في وضع مقياس الأرتفاع.
يؤدي الضغط باستمرار ولأسفل على (A) أو (C) إلى التمرير بسرعة عالية.

تؤدي كل ضغطة زر إلى التمرير إلى الشاشة العلوية لسجل البيانات المسجّل يدويًا التالي. قد يتوفّر لغاية 14 سجلاً في الذاكرة مرقّمًا من 1 ([-01-]) إلى 14 ([-14-]).
ملاحظة
في حال عدم وجود أي بيانات في الذاكرة نتيجةً لعملية حذف بيانات أو حدوث خطأ أو لأي سبب آخر، فسيظهر [- - - -] أو [0] على الشاشة.
إذا تجاوزت قيمة الصعود التراكمي (ASC) أو النزول التراكمي (DSC) الرقم 99999 م (327995 قدمًا)، فستعود إلى 0 وتستمر من هذه النقطة.
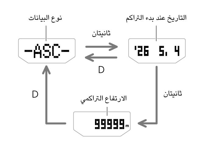
يؤدي الضغط على (D) إلى العودة إلى الشاشة العلوية (رقم السجل أو DSC أو ASC أو MAX أو MIN) للبيانات التي تعرضها.
البيانات المسجّلة يدويًا
بعد عرض الشاشة العلوية لسجل البيانات المسجّل يدويًا (من 01 إلى 14)، يمكنك التنقل بين بيانات السجل كما هو مبيّن أدناه.
مثال: السجل المسجّل يدويًا 01

البيانات المسجّلة تلقائيًا
بعد عرض سجل البيانات المسجّل تلقائيًا، يمكنك التنقل بين شاشات بيانات السجل كما هو مبيّن أدناه.
الارتفاع العالي والارتفاع المنخفض
مثال: الارتفاع العالي

الصعود والنزول التراكميان
مثال: الصعود التراكمي

حذف البيانات
حذف سجل معيّن
-
أدخل في وضع استرداد سجل الارتفاع.
-
استخدم الزرَّين (A) و (C) للتمرير عبر الشاشات العلوية للسجلات ولعرض السجل الذي تريد حذفه.
-
اضغط باستمرار ولأسفل على زر (D) لحوالى ثانيتَين. حرر الزر حالما يتوقف [CLEAR] عن الوميض.
سيؤدي ذلك إلى حذف السجل الذي حددته.

تجدر الإشارة إلى أن الضغط باستمرار ولأسفل على (D) لأكثر من خمس ثوانٍ قد يؤدي إلى حذف البيانات كلها.
حذف كل السجلات
اضغط باستمرار ولأسفل على (D) لخمس ثوانٍ على الأقل حتى يتوقف [ALL CLR] عن الوميض. يشير ذلك إلى أنه قد تم حذف كل البيانات.
