Xem dữ liệu đã lưu
-
1.Chuyển sang Chế độ truy hồi bản ghi độ cao.
-
Thao tác này sẽ hiển thị một bản ghi dữ liệu được ghi ở Chế độ cao độ kế.
-
2.Sử dụng (A) và (C) để hiển thị dữ liệu mà bạn muốn xem.
-
- Nhấn giữ (A) hoặc (C) để cuộn nhanh.

* Mỗi lần nhấn nút sẽ cuộn lên màn hình trên cùng của bản ghi dữ liệu được ghi thủ công tiếp theo. Bộ nhớ có thể lưu tối đa 14 bản ghi, đánh số từ 1 ([-01-]) đến 14 ([-14-]).
Dữ liệu được ghi thủ công
Sau khi hiển thị màn hình trên cùng của bản ghi dữ liệu được ghi thủ công (01 đến 14), bạn có thể điều hướng giữa các dữ liệu của bản ghi như bên dưới.
Ví dụ: Bản ghi được ghi thủ công 01

Dữ liệu được ghi tự động
Sau khi hiển thị bản ghi dữ liệu được ghi tự động, bạn có thể điều hướng giữa các màn hình dữ liệu của bản ghi như bên dưới.
Độ cao lớn và độ cao thấp
Ví dụ: Độ cao lớn

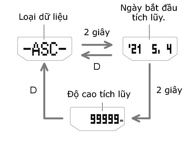
Độ cao đi lên tích lũy và độ cao đi xuống tích lũy
Ví dụ: Độ cao đi lên tích lũy


Đầu trang