檢視已儲存的資料
-
1.進入「高度記錄重新叫用功能」。
-
這會顯示「高度計功能」中所記錄的資料。
-
2.使用(A)和(C)來顯示您要檢視的資料。
-
- 按住(A)或(C)即可快速捲動。

* 每按一次按鈕即會捲動到下一筆手動重新記錄的資料記錄的頂端畫面。記憶體中可容納最多達 14 筆記錄,編號為 1([-01-])到 14([-14-])。
手動記錄資料
顯示手動記錄的資料記錄(01 到 14)的頂端畫面之後,您可在記錄的資料之間瀏覽,如下所示。
範例:手動記錄的記錄 01

自動記錄資料
顯示自動記錄的資料記錄之後,您可在記錄的資料畫面之間瀏覽,如下所示。
高高度與低高度
範例:高高度

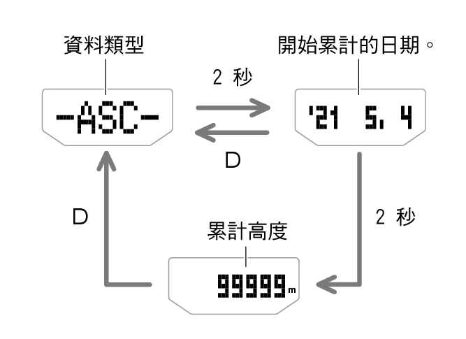
累計爬升和累計下降
範例:累計爬升


頁面頂端