Kayıtlı Verileri Görüntüleme
-
1.Yükseklik Kaydı Hatırlatma Modu’na girin.
-
Burada Yükseklikölçer Modu’nda kayıtlı olan veriler gösterilir.
-
2.İstediğiniz verileri görüntülemek için (A) ve (C) düğmesini kullanın.
-
- (A) veya (C) düğmelerine basılı tutulduğunda yüksek hızda kaydırma yapılır.

* Bir düğmeye her basıldığında manuel olarak kaydedilen bir sonraki veri kaydının üst ekranına kaydırılır. Hafızada 1 ([-01-]) ile 14 ([-14-]) arasında numaralandırılmış en fazla 14 kayıt olabilir.
Manuel Olarak Kaydedilen Veriler
Manuel olarak kaydedilen bir verinin (01 - 14) üst ekranını görüntüledikten sonra aşağıda gösterildiği gibi kaydın verileri arasında gezinebilirsiniz.
Örnek: Manuel olarak kaydedilen Kayıt 01

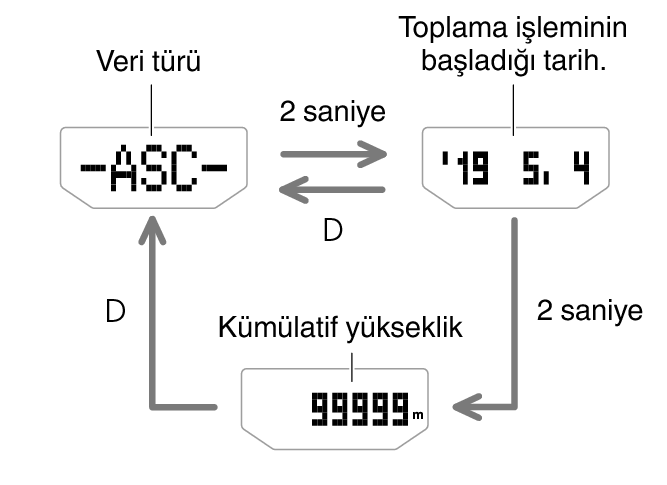
Otomatik Olarak Kayıtlı Veriler
Otomatik olarak kaydedilmiş bir veriyi görüntüledikten sonra aşağıda gösterildiği gibi kaydın veri ekranları arasında gezinebilirsiniz.
Yüksek ve düşük yükseklik
Örnek: Yüksek yükseklik

Kümülatif yükselme ve kümülatif alçalma
Örnek: Kümülatif yükselme


Sayfanın başı