การดูข้อมูลที่บันทึก
-
1.เข้าสู่โหมดเรียกคืนข้อมูลบันทึกความสูง
-
ซึ่งจะแสดงบันทึกของข้อมูลที่บันทึกในโหมดมาตรวัดความสูง
-
2.ใช้ (A) และ (C) เพื่อแสดงข้อมูลที่คุณต้องการดู
-
- การกด (A) หรือ (C) ค้างไว้จะเป็นการเลื่อนแบบรวดเร็ว

* การกดปุ่มแต่ละครั้งจะเลื่อนไปยังหน้าจอด้านบนของบันทึกข้อมูลที่บันทึกด้วยตนเอง ซึ่งสามารถมีบันทึกได้สูงสุด 14 รายการในหน่วยความจำ โดยมีเลขกำกับตั้งแต่ 1 ([-01-]) ถึง 14 ([-14-])
ข้อมูลที่บันทึกด้วยตนเอง
หลังจากแสดงหน้าจอด้านบนของบันทึกข้อมูลที่บันทึกด้วยตนเอง (01 ถึง 14) คุณสามารถไปยังส่วนต่างๆ ระหว่างข้อมูลของบันทึกดังที่แสดงด้านล่าง
ตัวอย่าง: บันทึกที่บันทึกด้วยตนเอง 01

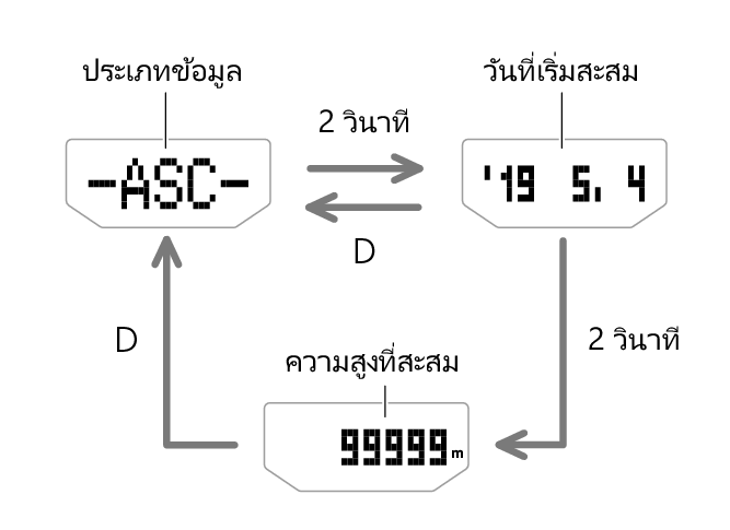
ข้อมูลที่บันทึกโดยอัตโนมัติ
หลังจากแสดงบันทึกข้อมูลที่บันทึกโดยอัตโนมัติ คุณสามารถไปยังส่วนต่างๆ ระหว่างหน้าจอข้อมูลของบันทึกดังที่แสดงด้านล่าง
ความสูงระดับสูงและความสูงระดับต่ำ
ตัวอย่าง: ความสูงระดับสูง

ความสูงที่เพิ่มขึ้นสะสมและความสูงที่ลดลงสะสม
ตัวอย่าง: ความสูงที่เพิ่มขึ้นสะสม


ด้านบนสุดของเพจ