Verificando dados salvos
-
1.Entre no Modo Recall do registro de altitude.
-
Isso exibe um registro dos dados gravados no Modo do altímetro.
-
2.Use (A) e (C) para exibir os dados desejados.
-
- Mantenha (A) ou (C) pressionado para navegar em velocidade rápida.

* Cada vez que o botão for pressionado, a parte superior da tela rola para o próximo registro de dados feito manualmente. Pode haver até 14 registros na memória, numerados de 1 ([-01-]) a 14 ([-14-]).
Dados registrados manualmente
Depois de exibir a tela superior de um registro manual de dados (01 a 14), você pode navegar entre os dados do registro, como mostrado abaixo.
Exemplo: registro manual 01

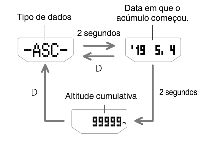
Dados registrados automaticamente
Depois de exibir um registro manual automático de dados, você pode navegar entre as telas dos dados do registro, como mostrado abaixo.
Alta altitude e baixa altitude
Exemplo: alta altitude

Subida cumulativa e descida cumulativa
Exemplo: Subida acumulada


Início da página