저장된 데이터 보기
-
1.고도 기록 리콜 모드로 들어갑니다.
-
그러면 고도계 모드에 기록된 데이터의 기록이 표시됩니다.
-
2.보려는 데이터를 표시하려면(A)와(C)를 사용합니다.
-
- (A)또는(C)를 길게 누르면 빠른 속도로 스크롤됩니다.

* 버튼을 누를 때마다 수동으로 기록된 다음 데이터 기록의 위쪽 화면으로 스크롤됩니다. 1([-01-])부터 14([-14-])까지 번호가 지정된 14개 기록까지 메모리에 있을 수 있습니다.
수동으로 기록된 데이터
수동으로 기록된 데이터 기록의 위쪽 화면(01~14)이 표시되면 아래 그림과 같이 기록의 데이터 사이에서 탐색할 수 있습니다.
예: 수동으로 기록된 기록 01

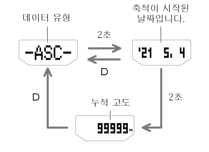
자동 기록된 데이터
자동 기록된 데이터 기록이 표시되면 아래 그림과 같이 기록의 데이터 화면 사이에서 탐색할 수 있습니다.
높은 고도 및 낮은 고도
예: 높은 고도

누적 상승 및 누적 하강
예: 누적 상승


맨 위로 이동