Affichage des données enregistrées
-
1.Activez le mode Rappel des enregistrements d’altitude.
-
Affiche un enregistrement des données collectées en mode Altimètre.
-
2.Utilisez les boutons (A) et (C) pour afficher les données que vous souhaitez consulter.
-
- Maintenez le bouton (A) ou (C) enfoncé pour un défilement rapide.

* Chaque fois que vous appuyez sur un bouton, l’écran d’accueil de l’enregistrement de données manuel suivant s’affiche. La mémoire peut contenir jusqu’à 14 enregistrements, numérotés de 1 ([-01-]) à 14 ([-14-]).
Données enregistrées manuellement
Après avoir affiché l’écran d’accueil d’un enregistrement manuel de données (de 01 à 14), vous pouvez naviguer entre les données de l’enregistrement, comme indiqué ci-dessous.
Exemple : Enregistrement manuel 01

Données enregistrées automatiquement
Après avoir affiché un enregistrement automatique de données, vous pouvez naviguer entre les écrans de données de l’enregistrement, comme indiqué ci-dessous.
Haute altitude et basse altitude
Exemple : Haute altitude

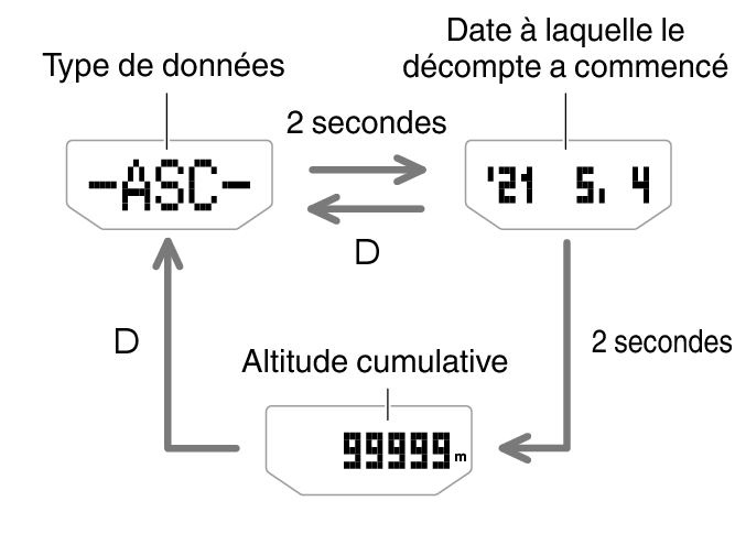
Ascension cumulative et descente cumulative
Exemple : Ascension cumulative


Haut de la page