عرض البيانات المحفوظة
-
1.أدخل في وضع استرداد سجل الارتفاع.
-
يؤدي ذلك إلى عرض سجل بيانات مسجّل في وضع مقياس الأرتفاع.
-
2.استخدم (A) و (C) لعرض البيانات التي تريد رؤيتها.
-
- يؤدي الضغط باستمرار ولأسفل على (A) أو (C) إلى التمرير بسرعة عالية.

* تؤدي كل ضغطة زر إلى التمرير إلى الشاشة العلوية لسجل البيانات المسجّل يدويًا التالي. قد يتوفّر لغاية 14 سجلاً في الذاكرة مرقّمًا من 1 ([-01-]) إلى 14 ([-14-]).
البيانات المسجّلة يدويًا
بعد عرض الشاشة العلوية لسجل البيانات المسجّل يدويًا (من 01 إلى 14)، يمكنك التنقل بين بيانات السجل كما هو مبيّن أدناه.
مثال: السجل المسجّل يدويًا 01

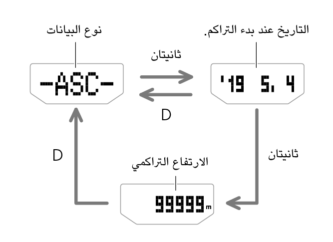
البيانات المسجّلة تلقائيًا
بعد عرض سجل البيانات المسجّل تلقائيًا، يمكنك التنقل بين شاشات بيانات السجل كما هو مبيّن أدناه.
الارتفاع العالي والارتفاع المنخفض
مثال: الارتفاع العالي

الصعود والنزول التراكميان
مثال: الصعود التراكمي


أعلى الصفحة