Izibalo Zokuhlanganisa
Umsebenzi wokwenza ukuhlanganiswa kwezinombolo usebenzisa indlela ye-Gauss-Kronrod.
Okufakwayo kwe-syntax Yesibonisi Semvelo yilokhu ∫ba f (x)dx, kuyilapho okufakwayo kwe-syntax Yesibonsi Somugqa kuyilokhu ∫ (f (x); a; b; tol).
I-tol ibalula ukuvumeleka, okuba ngu, 1 × 10-5 uma kungenalutho olufakwayo lwe-tol.
Isibonelo 1: ∫e1 ln(x) = 1
(MthIO-MathO)



(X)
1

(e)
- 1
(LineIO)



(X)

(;) 1
(;)
(e)

- 1
Isibonelo 2: ∫(1x2 ; 1; 5; 1 × 10-7) = 0,8 (LineIO)
1

(X)

(;) 1
(;) 5
(;)
1
7

- 0,8
Isibonelo 3: ∫π0 (sin x + cos x)2 dx = π (tol: Akuphawulekanga) (MthIO-MathO) (Iyunithi ye-engele: Rad)




(X)



(X)


0

(π)
- π
Izinyathelo Zokuphepha Zezibalo Zokuhlanganisa
Isibalo sokuhlanganisa singenziwa Kumodi ye-COMP kuphela.
Okulandelayo ngeke kusetshenziswe ku-f(x): Pol, Rec, ÷R. Okulandelayo ngeke kusetshenziswe ku-f(x), a, b, noma ku-tol: ∫, d/dx, Σ.
Uma usebenzisa isenzo se-trigonometric ku-f(x), balula u-Rad njengeyunithi ye-engele.
Inani elincane le-tol liphakamisa ukukhiqiza, kodwa futhi liphakamisa nesikhathi sesibalo. Uma ubalula i-tol, sebenzisa inani elingu, 1 × 10-14 noma ngaphezulu.
Ukuhlanganiswa ngokuvamile kudinga isikathi esithile ngaphambi kokusebenza.
Kuye ngokuqukethwe kwe-f(x) kanye nesigodi sokuhlanganisa, iphutha lesibalo elidlula ukuvumeleka lingakhiqizwa, libangele umshini wokubala ukuba uveze umyalezo wephutha.
Okuqukethwe kwe-f(x), amanani avumayo/aphikisayo phakathi nesikhathi sokuhlanganisa, kanye nesikhathi esihlanganisiwe angabangela iphutha elikhulu kumiphumela yamanani wokuhlanganisa. (Izibonelo: Uma kunezingxenye ezinamaphoyinti angaqhubeki noma ushintsho olungazelelwe. Uma isikhathi sokuhlanganisa sibanzi kakhulu.) Ezimweni ezinjalo ukuhlukanisa isikhathi sokuhlanganisa sibe yizingxenye nokwenza isibalo kungathuthukisa ukunemba kwesibalo.
Amacebiso Ezibalo Zokuhlanganisa Eziphumelele
Uma isenzo sesikhathi noma isikhathi sokuhlanganisa siphumela esenzweni samanani avumayo noma aphikisayo we-f(x)
Yenza izihlanganisi ezihlukene emjikelezweni ngamunye, noma ngokwengxenye evumayo nengxenye ephikisayo, bese uhlanganisa imiphumela.
(1) Ingxenye Evumayo
(2) Ingxenye Ephikisayo
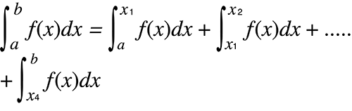
Uma amanani okuhlanganisa eshiyashiyana kakhulu ngenxa yamashifu esikhathini sokuhlanganisa
Hlukanisa isikhathi sokuhlanganisa ngokwezingxenye eziningi (ngendlela ekhawula izindawo zokushiyashiyana okukhulu ezingxenyeni ezincane), yenza ukuhlanganisa engxenyeni ngayinye, bese uhlanganisa imiphumela.





